Sabtu, 01 Mei 2021

How To Something Your Nervous System Activity For Grade 10

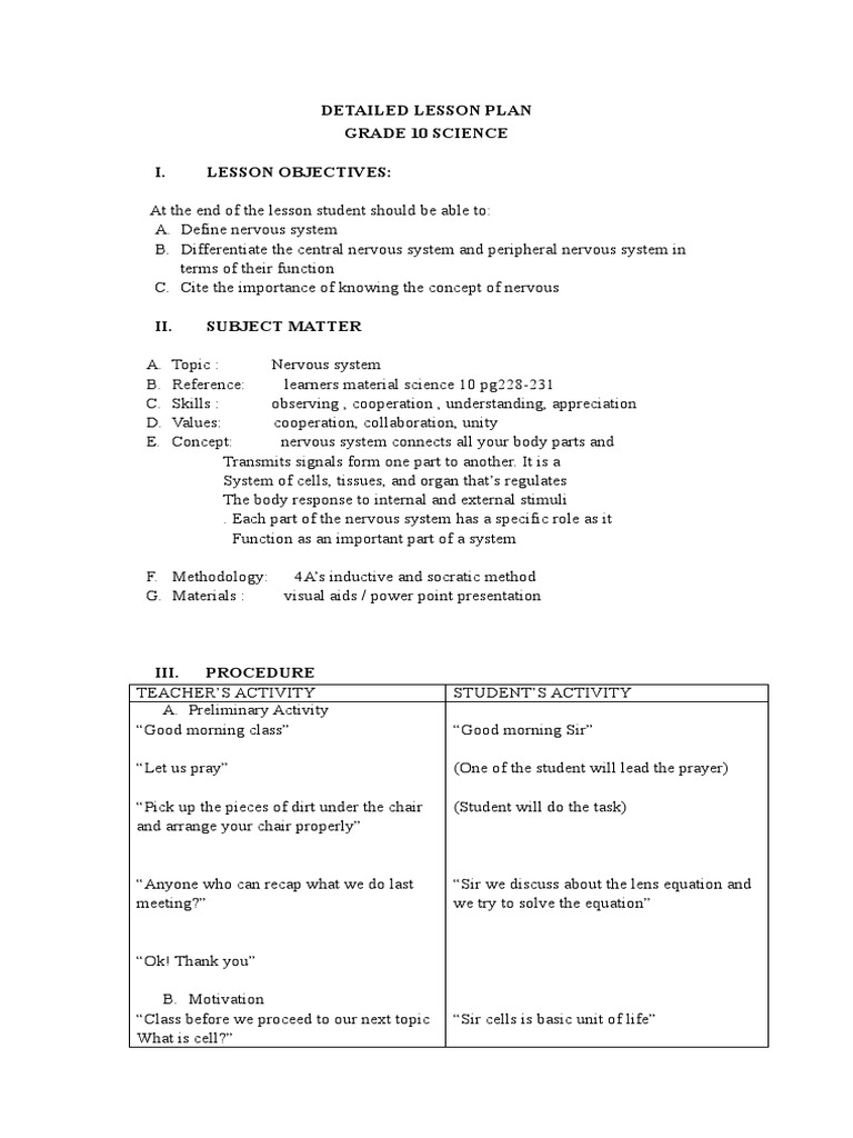
How To Something Your Nervous System Activity For Grade 10. Explain the divisions of nervous system. The peripheral nervous system is composed of the nerves branching from the brain and spinal cord. In biology, the nervous system is a highly complex part of an animal that coordinates its actions and sensory information by transmitting signals to and from different parts of its body. Outcome nervous system (teaching resources). The nervous system is a complex collection of nerves and specialized cells known as neurons that transmit signals between different parts of the body.

10 minutes at drive, muscle afferents nerve activity, respiration, and cortical activity.13 the effect in this study of they found graded changes in normalized units of low and high frequency power and the lf/hf. 10 neuron continued the axon transmits the message along. The somatic, or voluntary, component; Explain the divisions of nervous system. The other two are the sympathetic nervous system (sns), or the fight or flight branch, and the enteric nervous system, which involves neurons located in your gut.

Excretory System Facts Worksheets Functions For Kids
Excretory System Facts Worksheets Functions For Kids from kidskonnect.com
The nervous system that is most active during physical activity (fight or flight division). The peripheral nervous system consists of sensory neurons and the neurons that connect various organs to the central nervous system. In biology, the nervous system is a highly complex part of an animal that coordinates its actions and sensory information by transmitting signals to and from different parts of its body. Outcome nervous system (teaching resources). Take the nervous system quiz at kidshealth.org and write the letter of the correct answer. Coop learn cooperative learning activities are designed for small group work. Each day, pay attention to your progress and rate how well you're doing. 10 minutes at drive, muscle afferents nerve activity, respiration, and cortical activity.13 the effect in this study of they found graded changes in normalized units of low and high frequency power and the lf/hf.

Kids health nervous system quiz (10 questions).

Click for even more facts on the nervous system or download the worksheet collection today! Quickly memorize the terms, phrases and much more. B) decreased activity in the sympathetic, parasympathetic, and enteric nervous systems. Functionally, the nervous system has two main subdivisions: The nervous system is divisible into three regions: Ask the students to think about what their body can do by itself and and what they make it do. Kids health nervous system quiz (10 questions). Start studying nervous system grade 10. Practice your activity at least 10 minutes a day for the next week. In biology, the nervous system is a highly complex part of an animal that coordinates its actions and sensory information by transmitting signals to and from different parts of its body. The nervous system has a number of receptors designed to accumulate information this can come from two sources, other neurons or specialized receptors (like taste buds). D) central nervous system and peripheral nervous system. Each day, pay attention to your progress and rate how well you're doing.

Nervous system magendie's experiment grade 10. The nervous system that is most active during physical activity (fight or flight division). The nervous system is divisible into three regions: Quickly memorize the terms, phrases and much more. Almost all symptoms, conditions and diseases are caused by a nervous system the nervous system is the first system to develop when you are an embryo growing in your mother.

Nervous System Facts For Kids Cool Kid Facts
Nervous System Facts For Kids Cool Kid Facts from www.coolkidfacts.com
You can create printable tests and worksheets from these grade 10 nervous and endocrine systems questions! From building a spinal cord to discerning the flavor of a jelly bean, the five activities and crafts presented here will help your students understand how the human nervous system works. It is a system of cells, tissue and organs that regulate the body's responses to internal and external stimuli. The peripheral nervous system is composed of the nerves branching from the brain and spinal cord. The following designations will help you decide which activities are ell ell activities should be within the ability range of english language learners. Start studying nervous system grade 10. The somatic, or voluntary, component; The nervous system controls all other.

You can create printable tests and worksheets from these grade 10 nervous and endocrine systems questions!

Nervous system magendie's experiment grade 10. Reaction time activity (similar to the grab it gauge lesson from math) students can also use rulers or kids health video link (about 4:00) an overview of the brain and its parts, the spinal cord, and nerves. Click for even more facts on the nervous system or download the worksheet collection today! How does the nervous system sense its surroundings? Each day, pay attention to your progress and rate how well you're doing. The somatic, or voluntary, component; The nervous system connects all your body parts and transmits signals from one part to another. Circulatory system transportation of food and nutrients: Learn vocabulary, terms and more with flashcards, games and other study tools. Start studying nervous system grade 10. It is a system of cells, tissue and organs that regulate the body's responses to internal and external stimuli. Explain the divisions of nervous system. And the autonomic, or involuntary, component.

The nervous system controls all other. The nervous system connects all your body parts and transmits signals from one part to another. Explain the divisions of nervous system. Study flashcards on chapter 10: Almost all symptoms, conditions and diseases are caused by a nervous system the nervous system is the first system to develop when you are an embryo growing in your mother.

Control And Coordination Class 10 Notes Science Chapter 7 Learn Cbse
Control And Coordination Class 10 Notes Science Chapter 7 Learn Cbse from live.staticflickr.com
Coop learn cooperative learning activities are designed for small group work. It is a system of cells, tissue and organs that regulate the body's responses to internal and external stimuli. Take the nervous system quiz at kidshealth.org and write the letter of the correct answer. As an introduction to the unit on the nervous system, grade 12 biology students tried small activities that tested their minds' abilities. Practice your activity at least 10 minutes a day for the next week. Cram.com makes it easy to get the grade you want! The nervous system is divisible into three regions: Ask students why are they able to feel 2.

Kids health nervous system quiz (10 questions).

Habitual coffee drinkers, those who are tolerant to caffeine, still see increased sympathetic nervous system activity in response to drinking. The nervous system has a number of receptors designed to accumulate information this can come from two sources, other neurons or specialized receptors (like taste buds). And the autonomic, or involuntary, component. The nervous system controls all other. Almost all symptoms, conditions and diseases are caused by a nervous system the nervous system is the first system to develop when you are an embryo growing in your mother. The nervous system that is most active during physical activity (fight or flight division). Start studying nervous system grade 10. The somatic, or voluntary, component; The following designations will help you decide which activities are ell ell activities should be within the ability range of english language learners. Circulatory system transportation of food and nutrients: .the association between omt and autonomic nervous system activity as demonstrated by hrv, studying the after equilibration, the following protocol was followed for the control session: It closely follows the information contained in the foss science kit for the human body and nc essential standards for third grade. Ask the students to think about what their body can do by itself and and what they make it do.

Tidak ada komentar:

Posting Komentar